Изъ старата българска книжнина
I. Книжовни и исторически паметници отъ Първото българско царство
Иванъ Дуйчевъ
XVII. ПРИПИСКА КЪМЪ ПРЕВОДА НА СЛОВАТА НА СВ. АТАНАСИЙ АЛЕКСАНДРИЙСКИ
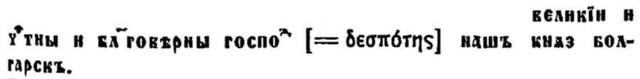
Тѣзи благочестиви книги, назовани Атанасий, преведе по повеля на нашия князъ български Симеона отъ гръцки на славянски езикъ епископъ Константинъ, ученикъ на Методия, архиепископа моравски, въ годината отъ началото на свѣта 6414 [= 906], индиктъ 10, а ги написа, по повеля на сѫщия князъ, черноризецъ Тудоръ Доксовъ, на устието на Тича въ годината 6415 [= 907], индиктъ 14, гдето е съградена светата златна нова църква отъ сѫщия князъ. Въ сѫщата година, на втори день отъ месецъ май, въ сѫбота вечерь почина рабътъ божий — бащата на този князъ — великиятъ, почтениятъ и благовѣрниятъ нашъ господарь князъ български, именуванъ Борисъ, а християнското му име е Михаилъ, които живѣ въ благовѣрие и добро изповѣдание на Господа нашъ Исуса Христа. Този Борисъ покръсти българитѣ въ годината етхъ бехти. Въ името на Отца и Сина и Светаго Духа, аминъ.
77
XVII. Приписка къмъ превода на словата на Атанасия Aлексaндрийски
Тази приписка е била обнародвана и проучвана много пѫти; вж., напр., y Златарски, История, I, 1, с.371 сл.; сѫщиятъ, СпБАкН, I (1911), с. 79 сл.; А. Vaillant въ Byzantinoslavica, IV (1932), p. 287, и др. Приписката е извънредно важна съ своитѣ исторически указания. Отъ нея узнаваме, че преводътъ е билъ направенъ отъ епископъ Константина по искане на князъ Симеона, въ годината 6414 (—5508) или 906; тази година, обаче, отговаря на 9, не на 10 индиктъ. Преписътъ, по повеля на княза, е билъ направенъ отъ инока Тудоръ (= Тодоръ) Доксовъ, когото B. Н. Златaрски, Кой е билъ Тудоръ черноризецъ Доксовъ? (= БПр, IV, 3 (1897), сс. 42 61) смѣташе за братъ на князъ Бориса. За времето на преписа е указана годината отъ C. М. 6415 (—5508) или 907. Индиктътъ — 14-и — и тукъ не отговаря, защото истинскиятъ индиктъ е 10-и. Споредъ рѫк. № 968 отъ Погодиновската сбирка тукъ стои индиктъ 11 (вж. A. Vaillant, ib., p. 287). Като се уповава
![]()
215
на указанията за индиктитѣ, Vaillant заключава, че цифритѣ за годинитѣ трѣбва да се четатъ 6415 = 907 и 6416 = 908, което значи да се даде на буквитѣ д' и е' онази тѣхна цифрова стойность, която тѣ иматъ въ глаголическата азбука, именно 5 и 6. Неговото заключение е, че въпросната приписка произлиза отъ единъ глаголически първообразъ. Струва ми се, че изводитѣ на именития ученъ сѫ прибързани. Най-чести грѣшки въ паметницитѣ ставатъ въ указанията на индиктионитѣ ; затова при изчислението на подобни дати за основа трѣбва да се взематъ, преди всичко, указанията на годинитѣ и по тѣхъ да се провѣряватъ индиктионитѣ, a не обратно. Въ приписката дветѣ индиктионни указания сѫ несъответни, a това още повече потвърждава мисъльта, че именно тѣ трѣбва да бѫдатъ поправени. — Покойниятъ Б. Цоневъ, п. с., с. 134, сѫщо приемаше, че Константинъ Преславски е писалъ съ глаголица.
— „На устието на Тича" означава монастира Патлейна; ср. Златарски, п. c., I, 2, с. 242. — Въ приписката сѫ дадени сведения за „светата златна нова църква", които, споредъ нѣкои учени, е тъждествена съ крѫглата църква въ Преславъ; cp. Кр. Миятевъ, Крѫглата църква въ Преславъ (София 1932), с. 185 сл.
Въ приписката е спомената точната дата на смъртьта на Борисъ-Михаила — 2 май 907 год. Той е назованъ „рабъ божий", като сѫ му дадени епитетитѣ:

Накрая на приписката се съобщава, че сѫщиятъ Борисъ-Михаилъ покръстилъ българитѣ в лѣт(о) етхъ бехти. Както показа J. J. Mikkola, Die Chronologie..., p. 14 sqq., p. 16 (cp. Златарски, История, I, 1, c. 371 сл.), изразътъ етхь бехти принадлежи къмъ първобългарската лѣтобройна система и означава година на кучето, значи XI циклова година, пети месецъ. За сѫщия изразъ A. Vailant, La date de la conversion des Bulgares (= Revue des études slaves, XIII, 1-2 (1933), pp. 5-8), вѣренъ на предположението си, че цѣлата приписка първоначално била писана съ глаголица, изказа
![]()
216
мнение, че тукъ се разбира „просто една дата на глаголица, извратена отъ преписвачитѣ". Той предполага, че тукъ има „une translittération mécanique de la glagolite en ciriliique sans modification de la valeur numérale des lettres" (ib., p. 8). Това предположение e неприемливо и неговата незадоволителность самъ авторътъ е призналъ, както изглежда неприемливо и въобще твърдението, че приписката първоначално е била писана съ глаголица. Ср. и Dujčev, Una pagina..., p. 341 n. 3.